
Join Our Team
LNB is a great place to work---and we're always in search of great people to join our staff. As LNB continues to grow and bring our services to neighbors throughout the Finger Lakes region, we frequently have job opportunities at all skill levels. We welcome applications from those just beginning their banking careers to seasoned financial professionals. Apply today.
Find Your CareerWorking at LNB is about far more than just work.
It's about giving back, sharing laughs, and doing right by our communities. We volunteer a lot---not because we have to, but because we all believe it's the right thing to do. That's what being a community bank means to us. If this sounds like the type of place you'd like to work, we'd like to hear from you. Click the button below for a list of all current available career opportunities.
THE LYONS NATIONAL BANK IS AN AFFIRMATIVE ACTION/EQUAL OPPORTUNITY EMPLOYER.
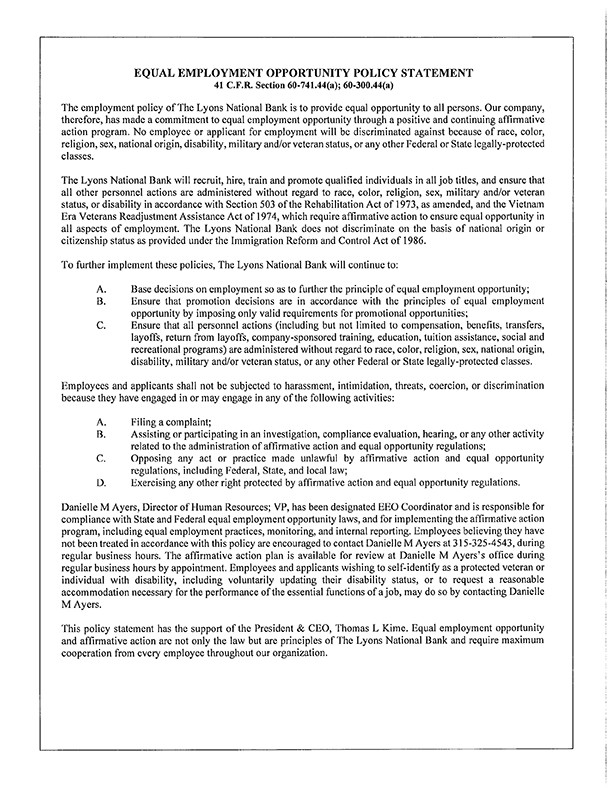
Thank you for considering LNB in your job search. LNB is an Equal Opportunity Employer committed to the policies and principles of Non-Discrimination and Affirmative Action (AA). Qualified applicants are considered for employment and employees are treated during employment without regard race, color, religion, sex, sexual orientation, gender identity, national origin, disability, military and/or veteran status, or any other Federal or State legally-protected classes.
At LNB, we consider our employees our most valuable asset. We aspire to employ confident individuals who exemplify an enthusiastic personality with a passion to provide superior customer service. LNB is a growth-oriented community bank that is committed to building strong customer relationships in providing quality products and exceptional customer service under our committed WOW culture. "WOW" is a personal conviction to consciously provide our customers and fellow employees with a level of service that exceeds their expectation during each and every encounter.
LNB may have the perfect career opportunity for you while offering competitive compensation and excellent benefits. Why not take a look at our current openings and consider applying today for a new and rewarding career. Any person with a disability needing special accommodations to the application process please call Human Resources.
THANK YOU FOR YOUR INTEREST IN BECOMING AN LNB TEAM MEMBER.
Danielle M. Ayers
Director of Human Resources
315-325-4543
Terri Martin
Payroll/Benefits Specialist
315-325-4541

Take your bank with you
Mobile Banking with LNB
LNB Mobile Banking is a fast, easy way to bank when you want, where you want.
Cybersecurity Tips
Published October 9, 2025 0 Views
Strengthen Your Wi-Fi Security Your Wi-Fi network is the backbone of your digital life, connecting everything from laptops and smartphones to smart TVs, speakers, and even security cameras. But if your network isn’t properly secured, it becomes an open door for cybercriminals. A compromised Wi-Fi c...
Columbus Day Closing
Published October 8, 2025 0 Views
In honor of Columbus Day, all LNB offices will be closed on Monday, October 13, 2025. Offices will re-open on Tuesday, October 14, 2025. Our 24-hour ATMs and online banking services are available for your convenience. Thank you.
See All Articles >
- Should I refinance?
- How much will my fixed rate mortgage payment be?
- How much will my adjustable rate mortgage payments be?
- How much will my payments be for a balloon mortgage?
- Should I rent or buy?
- Which mortgage is better for me?
- How much will I save by increasing my mortgage payment?
- How much mortgage might I qualify for?
- How much home can I afford?
- Should I consolidate my loans?
- How much car can I afford?
- How long will it take to pay off my credit card?
- How much do I need to save for college?
- How much will I need to save for a major purchase?
- How much can I afford to borrow?
- What is my loan rate?
- How long will it take to pay off my loan?
- How much will my loan payments be?
- Should I consolidate my loans?
- Is an Auto Loan or Home Equity Loan best for purchasing a car?
- How soon can I eliminate my debts?
- What is the yield on my portfolio?
- How can I save a million dollars?
- What is my investment yield?
- What is my future value worth today?
- What will my investment be worth in the future?
- How much could I save over time?
- What rate would I need to earn on my savings?
- What savings amount should I start with?
- How much should I save each month?
- Which is better for me, a Traditional IRA or a Roth IRA?
- How much will my Traditional IRA be worth at retirement?
- How much will my Roth IRA be worth at retirement?
- How long will my retirement savings last?
- What rate do I need to support my retirement?
- How much do I need to fund my retirement?
- How much can I spend each month in retirement?
The information provided by these calculators is intended for illustrative purposes only and is not intended to purport actual user-defined parameters. The default figures shown are hypothetical and may not be applicable to your individual situation. Be sure to consult a financial professional prior to relying on the results.
UPDATE YOUR ADDRESS
Update your Lyons banking information.
BUSINESS SWITCH KIT
Switch your business banking to LNB!
CONSUMER SWITCH KIT
Switch your banking to LNB.
BUSINESS CREDIT APPLICATION
Looking to take out a loan for your business?
CONSUMER LOAN APPLICATION
Looking for a personal loan?
PERSONAL FINANCIAL STATEMENT
Let LNB know about your financial situation.
VISA CONSUMER APPLICATION
Apply for a Classic or Rewards card from LNB!
Have a question?
 
 


